Feed

The Island Mother  by John Cohn  Genre: Supernatural Thriller, Horror

The Island Mother by John Cohn Genre: Supernatural Thriller, Horror

  The Island Mother by John Cohn Genre: Supernatural Thriller, Horror  White Lotus meets Midsommar in this supernatural thriller centered aroun...
The 15 Best Post-Apocalyptic Board Games

The 15 Best Post-Apocalyptic Board Games

I've always liked to go through — not around — the things that stress me out. Nowhere is this more evident than in my growing collection of post-ap...
Thursday, July 21, 2022, Erica Hsiung Wojcik, May Huang

Thursday, July 21, 2022, Erica Hsiung Wojcik, May Huang

    Today's constructors, Erica Hsiung Wojcik and May Huang appear to be making their debut in the LA Times, but they are not new to ...
Gluten Free San Francisco: A Complete Guide

Gluten Free San Francisco: A Complete Guide

Looking for gluten free San Francisco restaurants, bakeries, and more? I’ve got you covered! San Francisco is, in my opinion, in the top five glute...
Ticket to Ride Board Game (New York) Only $13.99! (Reg $24.99)

Ticket to Ride Board Game (New York) Only $13.99! (Reg $24.99)

Right now on Amazon you can score the Ticket to Ride Board Game (New York) for only $13.99! (Reg $24.99) In this version of ticket to ride, player...
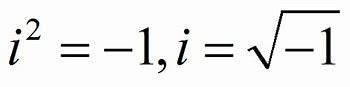
Imaginary numbers are real

Imaginary numbers are real

Oh boy.  understand that the number one and zero are mathematical objects useful in ordering our environment.  The imaginary number is just mathema...
Settlers of Catan Family Strategy Board Game only $30.49

Settlers of Catan Family Strategy Board Game only $30.49

Get Settlers of Catan Family Strategy Board Game for only $30.49. Compare: Kohls.com ($55.00) | Belk ($55.99) | Christianbook.com ($57.98) | Fun.c...
Board Games Sale on Today! Connect 4, Sorry!, Ticket to Ride and MORE!

Board Games Sale on Today! Connect 4, Sorry!, Ticket to Ride and MORE!

Board games make are great family fun. If you’re always looking for new ones to add to your collection, you’re going to want to shop these Board Ga...
Ticket to Ride New York or London Board Game Only $13.99 on Amazon or Walmart.com (Regularly $25)

Ticket to Ride New York or London Board Game Only $13.99 on Amazon or Walmart.com (Regularly $25)

Hey, Ticket to Ride board game fans! Head to Amazon or Walmart to snag the Ticket to Ride: New York board game for just $13.99 (regularly $24.99)...
Ticket to Ride New York Board Game only $13.99

Ticket to Ride New York Board Game only $13.99

Get Ticket to Ride: New York Board Game for only $13.99. Compare: Sears.com ($24.99) | Walgreens.com ($25.98) | IWOOT ($27.48) | Fun.com ($30.98)T...
Free Care Package Notes

Free Care Package Notes

Add these free care package notes to your gift box for college students, military members or friends. These cards are a great idea to make your car...
Upcoming Auction Preview:  Five Lots We Love

Upcoming Auction Preview: Five Lots We Love

Dawson Auctioneers estimate £3,000 – 4000. Dawson Auctioneers holds its Fine Art, Antiques, and Asian Art sale on July 28 in London, England. We ...